Research
Measuring in-medium nucleon modification with tagged DIS
MIT & Jefferson Lab (2023-present)
Scale separation between the quark (~GeV) and nuclear (~MeV) regimes holds extremely well, and explains the success of the IPM shell model in describing most nuclear dynamics. However, in 1983, a break down of scale separation was discovered, in what is now known as the EMC effect.
Over 40 years and 1000 publication later, the scientific community still has no widely accepted explanation for this breakdown in scale separation across 2-3 orders of magnitude. The Large Acceptance Detector (LAD) experiment at Jefferson Lab aims to resolve this 40 year-old puzzle.

First measurement of near and subthreshold J/Psi photoproduction
MIT & Jefferson Lab (2022-2025)
While the EMC effect is well established for quarks, nucleon modification has not been extensively studied for gluons.
Using the real photon beam at Jefferson Lab’s Hall D, we performed the first ever measurement of sub-threshold J/Psi photo-production, providing insights into nuclear gluon structure and laying the groundwork for future high statistics measurements.

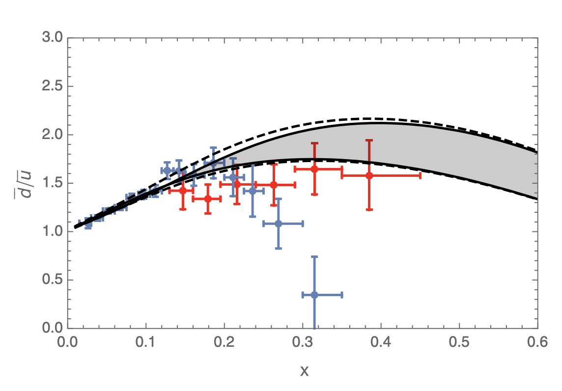
Theoretical Model of the u-d asymmetry of the proton
Seattle University (2020-2023)
We study the flavor asymmetry of the proton sea using a meson cloud model. In this model, the proton is described as a bare proton plus virtual meson-baryon states. We calculate the light-cone momentum distributions of pions in these states using chiral Lagrangians, and fit the parameters of the model to experimental data on the dbar-ubar asymmetry. Notably, experimental results from Fermi-lab's Seaquest experiment show good agreement with our predictions (which are not fit the the Seaquest data and were made before the data was released).

Development of a portable cold atom vacuum standard
NIST (2021-2022)
It is a challenge to measure pressure in ultra-high vacuum (UHV) and extreme-high vacuum (XHV) regimes. At NIST, we developed a portable cold atom vacuum standard (pCAVS) for absolute pressure measurement; the pCAVS uses laser-cooled atoms as a sensing element, where the loss rate of atoms from a magnetic trap is used to determine the background gas pressure.

Search for BSM Physics in di-Higgs Decays
CERN/UC Berkeley (2021)
Worked with a team at UC Berkeley to develop a Graphical Neural Network machine learning algorithm to search for pair production of Higgs via HH → γγ + X̸ ≠ bb decays.
Design of a tabletop dynamic force microscopy setup
Seattle University (2018-2020)
We develop a low-cost tabletop dynamic force microscopy (DFM) setup using an autocollimator with sub-microradian sensitivity to measure the deflection of a gold-plated cantelever. We demonstrate the functionality of the device through measurement of the electric force at micrometer scales, with intent to extend the apparatus for measurements of casimir forces and tests of the gravitational inverse square law.

